俳句誌「いす」第17号が発刊されました 令和3年4月1日
平成30年8月1日創刊号発刊をスタートとして長い道のりの旅を始めた俳句誌「椅子」も
令和3年4月1日で早や17号の通過点に達した。この間、一人で会員の句を集め、選句し、
一句、一句に適切な解説をつける。更に協力者へ寄稿を依頼する等の諸々の手順を
一人でこなして17号まで辿り着いたことは並大抵のことでないことは誰もが理解している
ことである。
このコーナーで17号の概略を紹介するが若し現物を欲する方は三井量光氏に問い合わせ
ていただくと若干の希望には応えていただけるかもしれない。
まず表紙から紹介していく。
表紙は山形市の西蔵王高原への大山桜を尋ねての吟行時のものかと思われる。

目次は次の内容です。

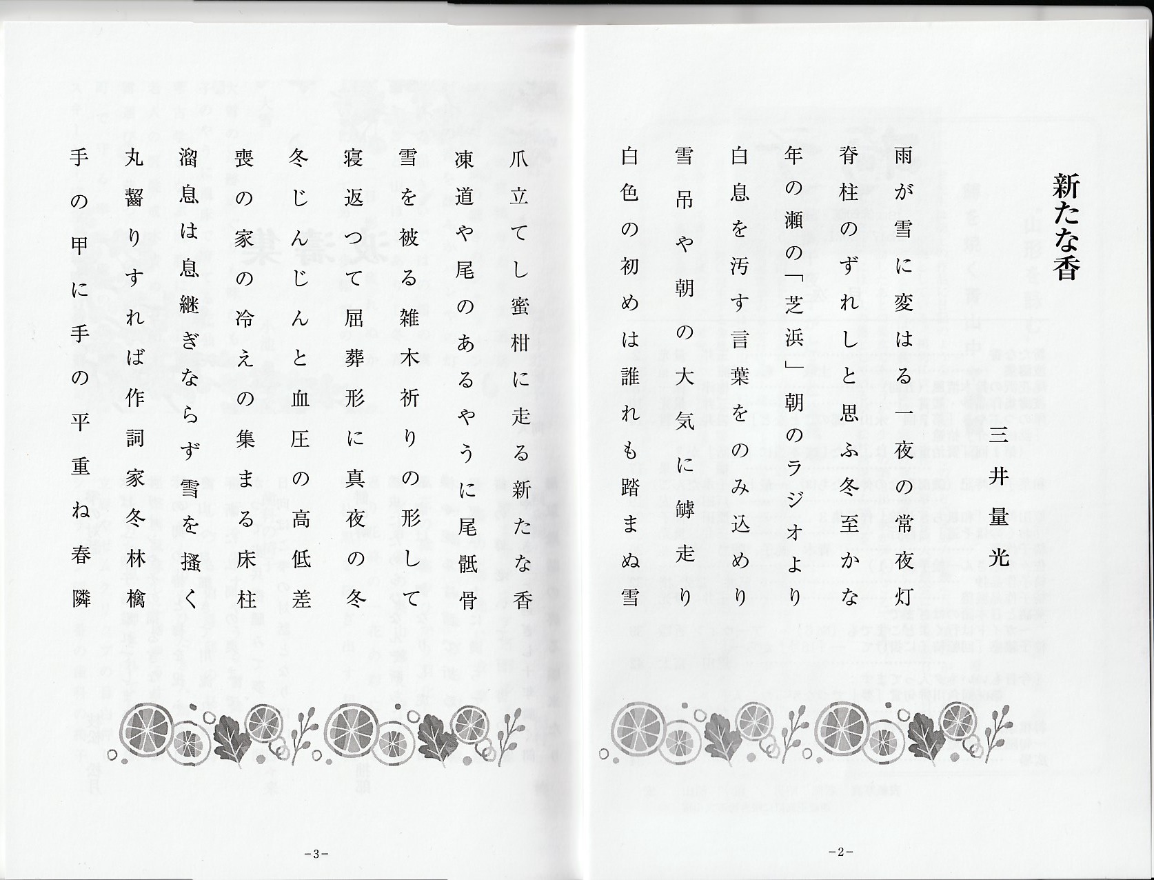
次には三井量光氏の句集が続く。題は「新たな香」となっている。

ここからは会員の句が掲載されている。

これらの句について一首毎に丁寧な解説と併せて批評がなされている。
私にとっては読むのが難解な句が多く、これらを全て理解して中身に踏み込み解説して
いく作業は大変だろうなぁと思ってしまう。
その一部のみを紹介する。

さて、以上が俳句誌「椅子」第17号の概要です。
内容は毎号充実しており会員からの投句も順調と聞く。
次号がどのようなものになるか楽しみである。
戻る