椅子34号発刊さる 令和6年2月1日
俳句誌「椅子」の34号が発刊された。もう34号かという気持ちになるほど
順調に発刊されてきたがこのための主催者の努力はとても大きなものが
あると言える。
では「椅子」34号誌の内容を抜粋で紹介していきます。
表紙は新関昭男氏によるものです。中山町の長崎城の本丸跡の銀杏の大木とのこと。
次は恒例の巻頭の句の紹介です。

次は目次です。

次に三井量光氏の句が載ります。


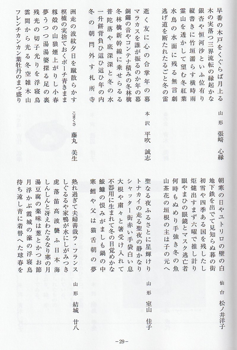
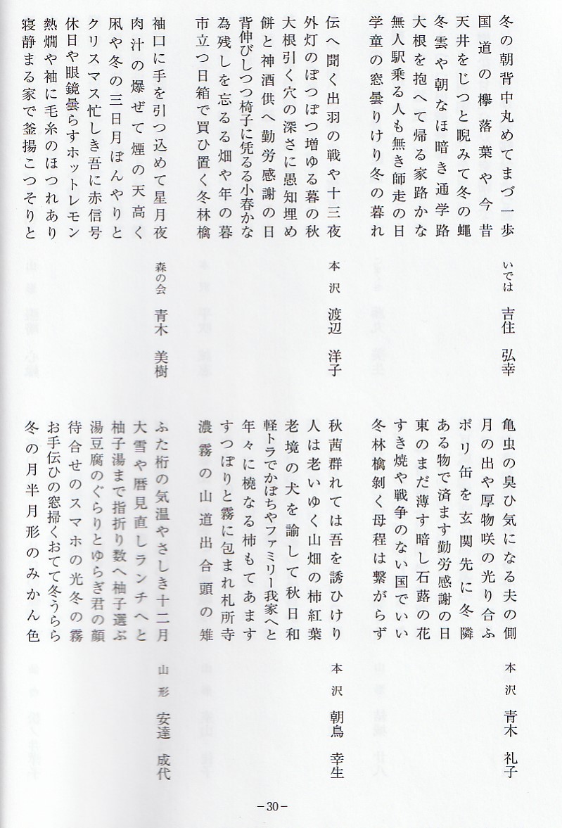
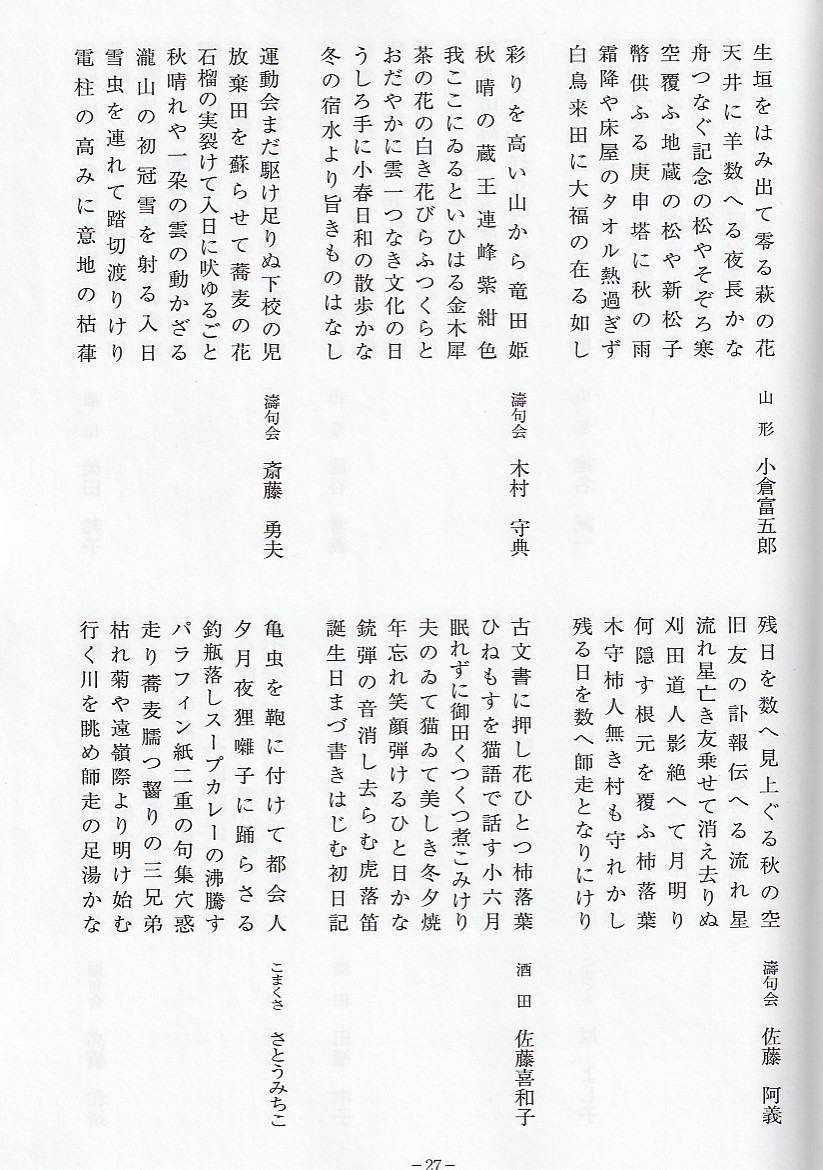
次には会員の句の掲載に入ります。





4ページに掲載された会員が七句投稿した句から選者が一句を選んでくれた
ものが掲載されその句に対して丁寧な批評解説が行われています。




この文中に出てくる詩人芳賀 秀次郎氏は現在 山形県の参議院議員である
芳賀 道也氏の父君です。記事中で紹介されているとおり秀次郎氏が創った
「われら愛す」という歌は「君が代」に代わる日本の新しい国歌になったかも知
れないのです。これが実現していたらと考えるとゾクゾクします。







会員が投句した作品七句が掲載されています。





会員が投句した七句の中から選者が一句を選び出してくれました。

選び出された句について丁寧な解説を選者が行ってくれています。






次も連載記事であります。山形の文人のそれぞれに一般人の視点とは異なった視野で
各文人の姿を紹介している記事で資料ともなりうる貴重な記事です。



次も好評の地域に関する話題の記事です。地道な調査に伴う分かりやすい文章で
郷土の地理・歴史を紹介してくれています。




次もユニークな記事です。毎回歌の歌詞とその誌の成り立ち等をからめて
私たちの知らない世界を教えてくれています。


次は好評の歌舞伎に関する連載記事です。この記事を読んでから歌舞伎を
鑑賞すれば楽しさと親しみが倍になること確実です。






以上で椅子34号の大雑把な紹介を終わります。
詳細は椅子誌でご覧ください。
戻る