三井量光氏主宰 俳句誌「椅子 28号」発刊す
俳句誌「椅子」が4月1日に第29号として発刊された。
本誌は俳句の愛好家だけではなく幅広い読者層を獲得しつつあるユニークな
俳句誌として評判が高まっている。
表紙は白竜湖です。





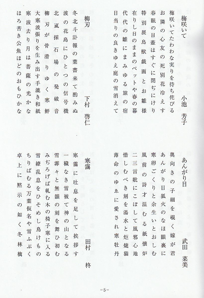
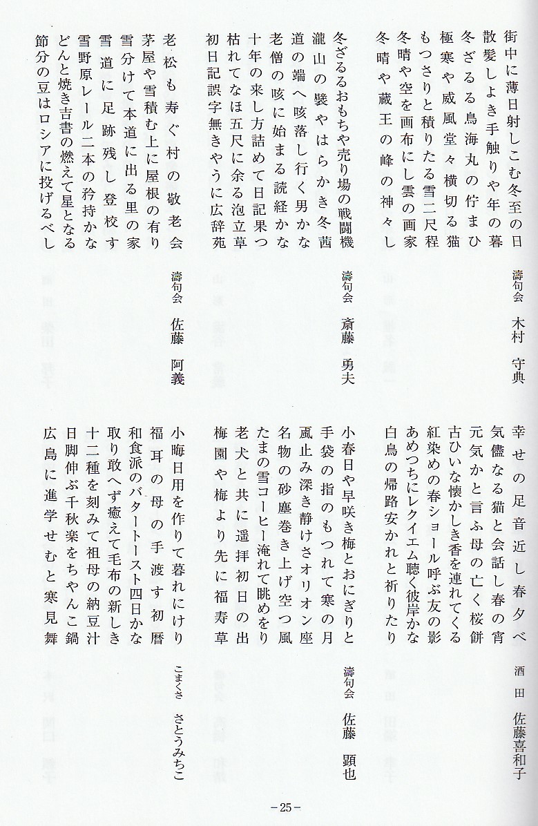
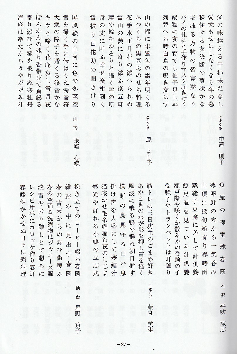
会員の皆さんの句が掲載してあります。東濤会の会員の名が見えます。





次は連載中の奥の細道と芭蕉にかかわるエッセーである。
残念ながら前号でお知らせしたとおり梅津氏はお亡くなりになってしまった。
原稿は先に頂いていたので掲載に支障はないというなので安心した。
内容は単に芭蕉の事だけではなく地域や伝承をからめた幅広い内容に
なっていて読んでいて当時の事が眼前に浮かんでくる心地がする読み物です。
ご冥福をお祈りいたします。




前出の会員からの投句に対し代表作を選び出して選者がその一句に対して丁寧な
評を述べてくれるページになります。4ぺーじからの波濤集の項を参照しながら読んで
下さい。







次も連載の読み物ですがページ関係上抜粋とさせていただきます。

椅子の会員の投句のページになります。各自の句から代表作を選び出して
選者が丁寧な指導をしてくれるコーナーです。






各自の代表作が選び出されました。

各自の句に対して丁寧な指導解説が行われます。会員が一番楽しみにしている
コーナーでしょう。






次からは特集となり「本田 巌句集 夕焼け空誌の鑑賞のコーナーになる。
今回は残念ながら割愛させていただきます。
編集が終わり余力が出たなら掲載したいと思います。
次は「詩のページ」へと移ります。 この椅子の特色として内容が俳句一辺倒ではなく
詩の分野も含んでいることです。これにより各人の物事を見つめる視野と表現力が
向上すると私は考えます。大変良い企画だと思っています。


次も連載の読み物です。こちらは絵画の話ですが俳句における情景の表現力には
絵画的素養が無いと良い句にならないことはみんな理解していることです。
この観点に沿った適切な内容なので好まれているのですが今回もさわりだけに
させていただきます。

椅子誌に関する感想分析を一年間担当してくださる方のコーナーとなります。
今号は全文掲載にさせていただきます。
P49に久間木氏による角川の今神温泉の思い出が出てくるが私も訪れたことがあったが
とても入浴できる雰囲気ではなくすぐに退出した思い出がある。



次も好評連載の読み物ですが今号の内容は特に面白い。
是非読んでみて下さい。



次も本書を特徴づけている小説のコーナーです。
俳句誌なのに小説がという意外性が嬉しいです。やはり誌があって小説があって、そして
俳句がという流れが俳諧の幅を広げ奥を深めてくれるのだと思います。
抜粋で紹介します。



本文は続きがあります。
実は私が一番楽しみにしているのが次の久間木氏の読み物です。
歌舞伎の有名な場面を詳しく解説してくれているのですが私の知らないこと
ばかりなので心の中に新たな感覚の芽生えを感じています。




いよいよ椅子29号の最終ページとなりました。
次号もますます内容が充実してくるのではないでしょうか。
楽しみにしています。

戻る